GPM462M 黑白导星相机

搭载索尼 IMX462 黑白背照式 CMOS传感器的专业导星相机,具备超宽光谱响应能力和极低读取噪声,为精确导星和深空成像提供卓越性能。

GPM462M 黑白导星相机产品图

功能描述

GPM462M相机具有高效的红外波段光捕捉能力,其在500nm处具有非常高的QE值。得益于黑白传感器的特性,其G灵敏度高达10819mv(1/30s),是彩色版本的4.5倍。配备HCG/LCG双增益模式切换,最低读取噪声可达0.76e⁻,使得GPM462M在自动导星、日面摄影和月面摄影中都有着卓越的性能表现。

GPM462M的特点如下:

  • IMX462 黑白 CMOS 传感器
  • 分辨率:210万像素(1920×1080)
  • 2.9微米方形像素
  • 1/2.8 英寸画幅
  • 12 位ADC
  • 内置帧缓存
  • HCG/LCG双增益模式
  • G 灵敏度:10819 mv,1/30s
  • 噪声:0.76 至 2.61e⁻
  • 8bit位宽时能达到17.8FPS
  • 最大信噪比:41 dB
  • 动态范围:73.1 dB
  • 内嵌ST4自动导星接口
  • 光谱响应:380-1100nm

核心特性

0.76 e⁻
超低读取噪声
HCG模式下的极致性能
10819 mv
超高灵敏度
4.5倍于彩色版本
380-1100nm
宽光谱响应
覆盖可见光至近红外
73.1 dB
动态范围
捕捉更多明暗细节
HCG/LCG
双增益模式
灵活适应不同场景
ST4
导星接口
直连赤道仪,精准导星

技术优势

黑白传感器的独特优势

GPM462M采用黑白IMX462传感器,相比彩色版本具有显著的性能提升。没有拜耳滤镜的限制,每个像素都能接收全部光谱的光线,灵敏度提升4.5倍,达到10819mv。同时具备更宽的光谱响应范围(380-1100nm),在近红外波段表现尤为出色,非常适合使用Ha、SII、OIII等窄带滤镜进行深空成像导星。

索尼IMX462黑白传感器光谱响应曲线

GPM462M的传感器G灵敏度为10819mv,1/30s,是彩色版本(2376mv)的4.5倍。其光谱响应范围达380-1100nm(带AR增透保护玻璃),在整个可见光和近红外波段都具有优异的量子效率。特别是在800-1000nm的近红外波段,仍保持较高的响应能力,这使得GPM462M在特殊滤镜应用中表现出色。

IMX462黑白传感器光谱灵敏度特性曲线

HCG/LCG双增益模式

GPM462M支持HCG(高转换增益)和LCG(低转换增益)两种模式切换,为不同的导星场景提供最优化的性能表现:

HCG高转换增益模式

  • 超低读取噪声:最低可达0.76e⁻
  • 适用场景:暗弱导星、窄带滤镜导星
  • 满井容量:4.8ke⁻
  • 优势:在极低光照条件下提供最佳信噪比

LCG低转换增益模式

  • 更大满井容量:12.7ke⁻
  • 适用场景:明亮导星、宽带滤镜导星
  • 读取噪声:2.61e⁻
  • 优势:更宽的动态范围,避免过曝

智能帧缓存技术

什么是帧缓存?

帧缓存是相机内置的高速存储器,用于临时存储采集到的图像数据。它就像一个智能的"缓冲区",在传感器和计算机之间起到桥梁作用。

帧缓存的优势:

  • 稳定数据传输: 当USB传输出现短暂延迟或波动时,帧缓存可以临时存储图像数据,避免丢帧或数据损失,确保导星的连续性和稳定性。
  • 减少辉光现象: 帧缓存有效减少了由于图像数据暂时缓冲而引起的amp-glow(放大器辉光)现象,保证图像的纯净度。
  • 多相机协同工作: 在使用多台相机同时工作的情况下(如主镜成像+导星),帧缓存确保每台相机都能达到最大帧率,互不干扰。
  • 提升系统兼容性: 即使在配置较低的计算机或USB2.0接口下,帧缓存也能维持稳定的数据流,提升整体系统的兼容性。

12位 ADC 和智能ROI

GPM462M采用原生12位ADC,提供4096级灰度层次,相比8位的256级灰度,能够捕捉更丰富的图像细节。相机支持硬件ROI(感兴趣区域)功能,ROI尺寸越小,帧率越高,这在导星应用中特别有用,可以只选择包含导星的小区域进行高速采集。

不同分辨率/位宽/数据传输接口时的速率

分辨率 位深模式
12-bit ADC 8-bit ADC
1920 × 1080 8.9 17.8

单位:帧/秒 (FPS) - USB2.0接口

灵活的像素合并

GPM462M支持从 1×1 到 8×8 的数字像素合并(堆叠或平均方法)。像素合并技术可以提高信噪比,在暗弱导星条件下特别有用,通过合并相邻像素来增强导星信号,同时降低读取噪声的影响。对于黑白传感器,像素合并不会损失色彩信息,使其在这方面比彩色传感器更具优势。

内嵌ST4自动导星接口

GPM462M内置标准ST4导星接口,可以直接连接到赤道仪的ST4导星端口,无需额外的转接设备。这种设计简化了导星系统的配置,减少了线缆连接,提高了系统的可靠性。配合主流导星软件如PHD2、MetaGuide等,实现精准的自动导星控制。

ST4导星接口

广泛的软件兼容性

GPM462M支持Native、ASCOM、WDM等多种驱动接口,兼容PHD Guiding、N.I.N.A、INDI、MaxIm DL、Nebulosity、MetaGuide等主流天文软件。提供Windows、Linux、macOS等多平台SDK支持,包括Native C/C++、C#/VB.NET、Python、Java等开发接口。

便捷的供电系统

相机通过USB 2.0 Type-C接口获取供电,无需外接电源。一旦使用USB数据线与主控系统建立连接,该相机即准备好进行工作。这种设计特别适合野外观测,减少了电源线缆的复杂性。

性能分析

GPM462M提供HCG和LCG两种增益模式,可根据不同的导星需求灵活切换,在各种条件下都能提供优异的性能表现。

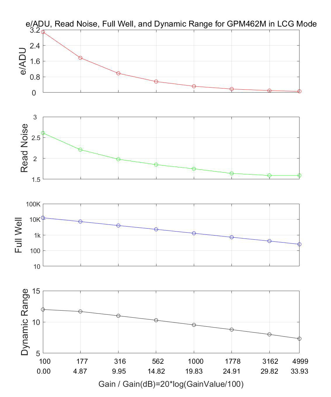
LCG低转换增益模式性能

相机设置:全分辨率,RAW 12位模式,LCG模式

LCG模式提供更大的满井容量(12.7ke⁻),适合拍摄较亮的导星或进行太阳、月球成像。 该模式在保持良好信噪比的同时,提供了更宽的动态范围(73.1dB), 能够避免在明亮目标上过曝,特别适合日面、月面摄影等应用。

LCG模式性能曲线图

LCG模式关键性能数据

增益值 100 316 1000 3162 4999
对数增益 (dB) 0.00 9.95 19.83 29.82 33.93
e-/ADU 3.09 0.98 0.32 0.10 0.06
读出噪声 (e⁻) 2.61 1.98 1.75 1.59 1.59
满井电荷 (ke⁻) 12.7 4.0 1.3 0.4 0.3
动态范围 (stop) 12 10.99 9.53 8.01 7.33

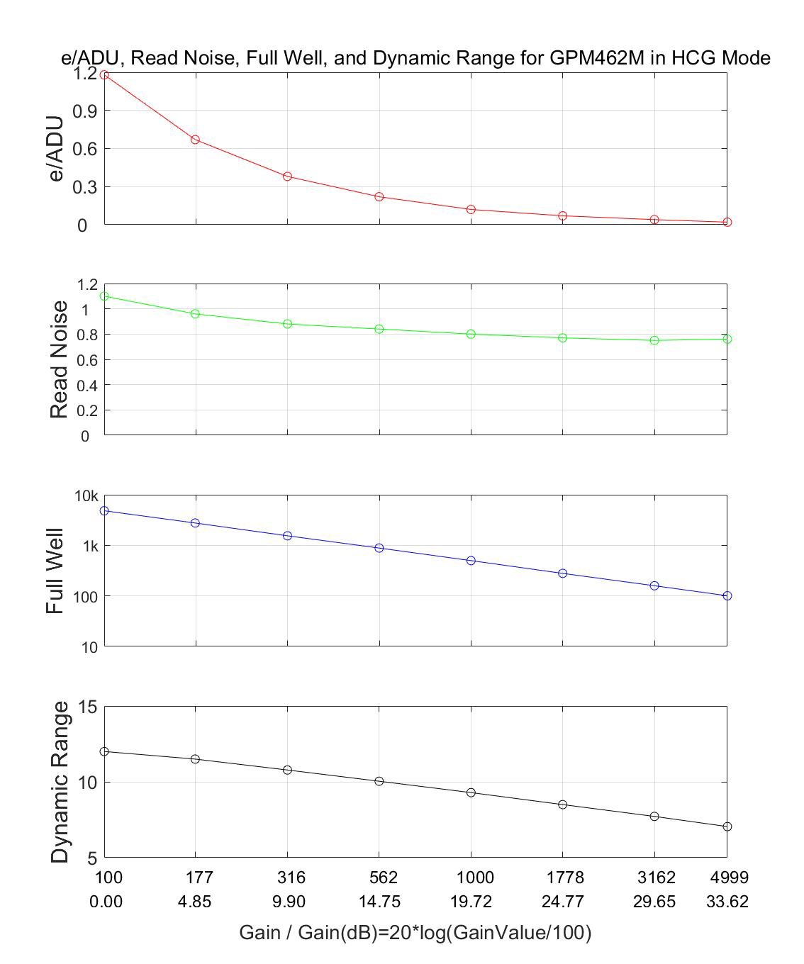
HCG高转换增益模式性能

相机设置:全分辨率,RAW 12位模式,HCG模式

HCG模式专为弱光导星优化,提供极低的读取噪声(最低0.76e⁻), 这是GPM462M最突出的特性之一。在高增益设置下,读取噪声保持在0.76e⁻, 非常适合捕捉极其暗弱的导星,特别是在使用窄带滤镜进行深空成像时表现卓越。

HCG模式性能曲线图

HCG模式关键性能数据

增益值 100 316 1000 3162 4999
对数增益 (dB) 0 9.9 19.72 29.65 33.62
e-/ADU 1.18 0.38 0.12 0.04 0.02
读出噪声 (e⁻) 1.10 0.88 0.80 0.75 0.76
满井电荷 (ke⁻) 4.8 1.5 0.5 0.2 0.1
动态范围 (stop) 12 10.78 9.29 7.72 7.05

技术规格

核心性能参数

最大帧率 (USB 2.0) 12位:8.9 FPS @ 1920×1080
8位:17.8 FPS @ 1920×1080
读取噪声 HCG: 0.76-1.10e⁻ | LCG: 1.59-2.61e⁻
满井电荷 HCG: 4.8ke⁻ | LCG: 12.7ke⁻
量子效率峰值 >89%
动态范围 73.1 dB
信噪比 41 dB
G灵敏度 10819 mv,1/30s
曝光时间范围 0.1毫秒 - 1000秒
增益范围 1× - 500×

基础技术规格

传感器 索尼 IMX462 黑白背照式 CMOS
图像分辨率 210万像素 (1920×1080)
像素尺寸 2.9μm × 2.9μm
传感器尺寸 1/2.8英寸 (对角线 6.39mm)
成像区域 5.57mm × 3.13mm
快门类型 卷帘快门
ADC位深 12位
帧缓存 内置
增益模式 HCG/LCG双模式切换
光谱响应范围 380-1100nm(带AR增透保护玻璃)

接口与物理规格

数据接口 USB 2.0 Type-C
导星接口 内嵌ST4自动导星接口
相机接口 1.25英寸外径适配望远镜
标准C接口适配工业镜头
后截距 8.5mm(搭配C接口达17.5mm,搭配CS接口达12.5mm)
保护窗口 AR增透窗口
外形尺寸 直径 37mm × 高度 72.4mm
重量 70克
散热方式 被动散热
支持系统 Windows XP/Vista/7/8/10/11
Mac OS X、Linux
SDK支持 Native C/C++、C#/VB.NET、Python
Java、DirectShow、Twain等

相机接口与尺寸

接口说明

  • 可直接塞进1.25英寸目视口径的望远镜
  • GPM搭配1.25英寸延长筒,可直接塞进1.25英寸目视口径的望远镜
  • 标准C接圈可直接适配工业C接口镜头
  • 内嵌ST4自动导星接口能直连赤道仪ST4导星接口
  • USB2.0接口Type C口,提供数据传输和供电

包装内容

包装内容总览

标准配置包含:

A GPM462M黑白导星相机主体(配标准C接口)× 1
B USB 2.0数据线(2米,Type-A to Type-C)× 1
C ST4导星线缆(2米)× 1
D 1.25英寸延长筒 × 1
E CS接圈 × 1

包装盒尺寸:长15cm × 宽15cm × 高10cm(每个成品包装约总重0.8-1.0千克)